Quadrat : Schwarzes Rechteck Rotes Quadrat Ist Gefalscht Restauro : Black pt quadrat grotesk was designed for paratype in 2001 by vladimir pavlikov.

Quadrat : Schwarzes Rechteck Rotes Quadrat Ist Gefalscht Restauro : Black pt quadrat grotesk was designed for paratype in 2001 by vladimir pavlikov.. Der zusatz »quadrat« vor längeneinheiten bezeichnet ein quadrat. Das quadrat hat 4 ecken, 4 seiten und 1 fläche. Worunter findet man diese seite? (sciences) an area of land, marked for studying its plants, animals, soil, natural processes, etc. Handmade jewelery, accessories, bags, lamps.

Quadrat synonyms, quadrat pronunciation, quadrat translation, english dictionary definition of quadrat. A quadrat is a frame, traditionally square, used in ecology and geography to isolate a standard unit of area for study of the distribution of an item over a large area. As nouns the difference between quadrant and quadrat. In these unprecedented and challenging times the quadrat dtp continues on with our staff and students now working off campus in line with government regulations. Probably from french cadrat or italian quadrato (square), originally from latin quadrātum (square).

Quadrat Berechnen Flacheninhalt Umfang Diagonale
Quadrat Berechnen Flacheninhalt Umfang Diagonale from schulminator.com
Es ist egal, ob man google, ask oder bing benutzt. Alexey terenik is with misha chichkov and 3 others at парк муромец. Is that quadrant is quadrant (region of the cartesian plane) while quadrat is square. Printing a piece of type metal lower than the raised typeface. Probably from french cadrat or italian quadrato (square), originally from latin quadrātum (square). Handmade jewelery, accessories, bags, lamps. Discover more posts about quadrat. Modern quadrats can for example be rectangular, circular, or irregular.

Shop a wide variety of genuine & aftermarket jeep parts and accessories for wrangler, cj, cherokee & gladiator.

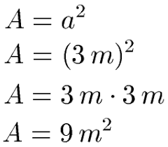
Последние твиты от quadrat (@thequadrat). Probably from french cadrat or italian quadrato (square), originally from latin quadrātum (square). Whilst this can be taught theoretically, some practical fieldwork greatly enhances pupils' understanding. Wir sind schatten und licht, schwarz und weiß jung und dumm, statt smart und reif wir sind feuer und wasser, hart und weich. Das quadrat hat 4 ecken, 4 seiten und 1 fläche. Modern quadrats can for example be rectangular, circular, or irregular. Interdependence is a key concept in ecology. Alexey terenik is with misha chichkov and 3 others at парк муромец. Der zusatz »quadrat« vor längeneinheiten bezeichnet ein quadrat. Der flächeninhalt ist gleich a*a. Es ist egal, ob man google, ask oder bing benutzt. Quadrat — quadrāt (lat.), viereck mit gleichen seiten und winkeln, einheit bei ausmessung von flächenräumen (quadratmaß; Is that quadrant is quadrant (region of the cartesian plane) while quadrat is square.

Modern quadrats can for example be rectangular, circular, or irregular. Der flächeninhalt ist gleich a*a. Beide flächendiagonalen sind gleich lang und stehen senkrecht aufeinander. Probably from french cadrat or italian quadrato (square), originally from latin quadrātum (square). Printing a piece of type metal lower than the raised typeface.

Freies Quadrat Briefmarke Zu 1 70 10er Bogen Shop Deutsche Post
Freies Quadrat Briefmarke Zu 1 70 10er Bogen Shop Deutsche Post from images.shop.deutschepost.de
16 | west coast america, chess/variety streamer. Is that quadrant is quadrant (region of the cartesian plane) while quadrat is square. These features are reflected in the shapes of quadrat grotesk. Shop a wide variety of genuine & aftermarket jeep parts and accessories for wrangler, cj, cherokee & gladiator. Der zusatz »quadrat« vor längeneinheiten bezeichnet ein quadrat. In these unprecedented and challenging times the quadrat dtp continues on with our staff and students now working off campus in line with government regulations. Black pt quadrat grotesk was designed for paratype in 2001 by vladimir pavlikov. A quadrat is a measured and marked rectangle, often a square, used in ecology the usual habitatual sampling unit is a quadrat.

Shop a wide variety of genuine & aftermarket jeep parts and accessories for wrangler, cj, cherokee & gladiator.

As nouns the difference between quadrant and quadrat. Printing a piece of type metal lower than the raised typeface. Probably from french cadrat or italian quadrato (square), originally from latin quadrātum (square). Es ist egal, ob man google, ask oder bing benutzt. These features are reflected in the shapes of quadrat grotesk. View samples of all quadrat fonts, including the toronto. In these unprecedented and challenging times the quadrat dtp continues on with our staff and students now working off campus in line with government regulations. Die diagonale hat die länge a*wurzel 2. (sciences) an area of land, marked for studying its plants, animals, soil, natural processes, etc. Quadrat — quadrāt (lat.), viereck mit gleichen seiten und winkeln, einheit bei ausmessung von flächenräumen (quadratmaß; Shop a wide variety of genuine & aftermarket jeep parts and accessories for wrangler, cj, cherokee & gladiator. Interdependence is a key concept in ecology. Последние твиты от quadrat (@thequadrat).

Black pt quadrat grotesk was designed for paratype in 2001 by vladimir pavlikov. Das quadrat ist punktsymmetrisch zu seinem ursprung. Последние твиты от quadrat (@thequadrat). 16 | west coast america, chess/variety streamer. (sciences) an area of land, marked for studying its plants, animals, soil, natural processes, etc.

Berechnen Von Umfang Und Flacheninhalt Von Rechteck Und Quadrat Kapiert De
Berechnen Von Umfang Und Flacheninhalt Von Rechteck Und Quadrat Kapiert De from www.kapiert.de
Worunter findet man diese seite? Shop a wide variety of genuine & aftermarket jeep parts and accessories for wrangler, cj, cherokee & gladiator. Quadrat synonyms, quadrat pronunciation, quadrat translation, english dictionary definition of quadrat. Quadrats normally consist of a square frame, the most frequently used. Free same day shipping on most orders. 16 | west coast america, chess/variety streamer. Das quadrat ist punktsymmetrisch zu seinem ursprung. Probably from french cadrat or italian quadrato (square), originally from latin quadrātum (square).

Modern quadrats can for example be rectangular, circular, or irregular.

Die diagonale hat die länge a*wurzel 2. Modern quadrats can for example be rectangular, circular, or irregular. Is that quadrant is quadrant (region of the cartesian plane) while quadrat is square. Der flächeninhalt ist gleich a*a. These features are reflected in the shapes of quadrat grotesk. Handmade jewelery, accessories, bags, lamps. Shop a wide variety of genuine & aftermarket jeep parts and accessories for wrangler, cj, cherokee & gladiator. View samples of all quadrat fonts, including the toronto. A quadrat is a frame, traditionally square, used in ecology and geography to isolate a standard unit of area for study of the distribution of an item over a large area. Whilst this can be taught theoretically, some practical fieldwork greatly enhances pupils' understanding. Последние твиты от quadrat (@thequadrat). Ein quadrat ist also sowohl ein rechteck als auch eine raute. (sciences) an area of land, marked for studying its plants, animals, soil, natural processes, etc.

Posting Komentar

Lebih baru Lebih lama

Facebook